On September 29, 2021 at 16:41, the last military echelon of the Russian Federation Armed Forces will leave the territory of the Republic of Belarus after the joint exercises “West 2021”.
What's strange about these exercises is that the number of Russian Armed Forces personnel involved is greatly understated: according to official data, their number equals 2,500 people, but if you look at the total number of passenger cars in military echelons, which equals 100, and the capacity of one passenger car being 54 seats, plus guards in covered wagons (wagons equipped for transporting people), the number of military personnel comes to at least 5,400 people. And this is without counting the special service trains that were also involved in transporting Russian Armed Forces personnel to the territory of the Republic of Belarus. According to the operational staff of Minsk-Sorting and Orsha-Central stations: when military echelons arrived in the Republic of Belarus, all passenger cars were fully occupied with people.
Moving such a quantity of military equipment and personnel is, in its own way, a practice of routes (it's not so simple with the train schedule – these echelons need to be fitted in somewhere), as well as practice in operational deployment of military equipment and personnel to required points in the country.
Schedule of military echelons (arrival in the Republic of Belarus). July-August 2021:
1. No. 80414 Selyatino Mosc. – Brest-Yuzhny BCh (50 wagons), 07/21/2021 Krasnoye 15:50 (train No. 2135), State border (SAIPS Krasnoye) 15:53, Orsha-Central 16:40-19:13 (train No. 2125), Minsk-Sort.(P.3,4) 00:07-01:00 (train No. 2601), Baranovichi-C.(MP) 03:26-03:28, Brest East. 06:24-09:08 (train No. 3782), Brest-Yuzhny 09:40;
1.1. No. 80414 Brest-East. BCh – Selyatino Mosc. ( 50 wagons), 07/22/2021 Brest-East. 21:52 (train No. 3384), Baranovichi-C.(MP) 01:05-01:46 (train No. 2658), Minsk-Sort.(P.3,4) 04:20-04:50 (train No. 2124), Orsha-Central 08:50-10:20, Krasnoye 11:12 (train 2108) 07/23/2021.
2. No. 80421 Nara Mosc – Polonka BCh (47 wagons), 07/21/2021 Krasnoye 17:20(train No. 2139), State border (SAIPS Krasnoye) 5:23 PM, Orsha-Central 18:11-21:40 (train No. 2131), Minsk-Sort.(P.3,4) 01:20-02:01 (train No. 2605), Baranovichi-C.(MP) 04:26-05:18, Baranovichi-Central 05:22, Baranovichi-Central(ZP) 05:26, Borovtsy 05:35, Polonka 06:00;
2.1. No. 80421 Polonka BCh – Nara Mosc (47 wagons), 07/22/2021 Polonka 15:59, (train No. 3812), Baranovichi-Central 16:33-17:42 (train No. 2636), Minsk-Sort.(P.3,4) 20:06-21:52 (train No. 2156) Orsha-Central 01:46-03:54, Krasnoye 04:45 (train No. 2158) 07/23/2021.
3. No. 80430 Ilyino Gork. – Polonka BCh ( 49 wagons), 07/22/2021 Krasnoye 11:20 (train No. 2119), State border (SAIPS Krasnoe) 11:23, Orsha-Central 12:12-15:14 (train No. 2119), Minsk-Sort.(P.3,4) 19:09-20:16 (train No. 2645), Baranovichi-C.(MP) 22:59-23:58, Polonka 00:40;
3.1. No. 80430 Polonka BCh – Ilyino Gork. (49 wagons), 07/23/2021 Polonka 15:59, (train No. 3812), Baranovichi-Central 16:33-17:42 (train No. 2636), Minsk-Sort.(P.3,4) 20:06-21:52 (train No. 2156) Orsha-Central 01:46-03:54, Krasnoye 04:45 (train No. 2158) 07/24/2021.
4. No. 80432 Pochinki Gork. – Lesnaya BCh (37 wagons), 07/22/2021 Krasnoye 21:21 (train No. 2145), State border (SAIPS Krasnoe) 21:24 , Orsha-Central 22:11-00:51 (train No. 2145), Minsk-Sort.(P.3,4) 04:24-05:16 (train No. 2615), Baranovichi-C.(MP) 07:41, Lesnaya 08:20;
4.1. No. 80432 Lesnaya BCh –Pochinki Gork. (37 wagons), 07/23/2021 Lesnaya 18:30 (train No. 2642), Baranovichi-C.(MP) 19:00-22:27 (train No. 2646), Minsk-Sort.(P.3,4) 01:21 (train No. 2648)-02:31 (train No. 2114), Orsha-Central 06:29-10:20, Krasnoye 11:12 (train No. 2108) 07/24/2021.
5. No. 80431 Rostov-Yarosl. Sev. – Polonka BCh (38 wagons), 07/23/2021 Krasnoye 21:33 (train No. 2147), State border (SAIPS Krasnoye) 21:36 , Orsha-Central 22:32-01:25 (train No. 2147), Minsk-Sort.(P.3,4) 05:27 (train No. 2617), Baranovichi-C.(MP) 07:56-09:23 (train No. 3825) Polonka 10:01;
5.1. No. 80431 Polonka BCh – Rostov-Yarosl. Sev. (38 wagons), 07/24/2021 Polonka 20:04, (train No. 3010), Baranovichi-Central 20:35-22:27 (train No. 2646), Minsk-Sort.(P.3,4) 00:58 (train No. 2104), Orsha-Central 04:53-07:25, Krasnoye 08:14 (train No. 2106) 07/25/2021.
6. No. 80415 Selyatino Mosc. – Brest-Yuzhny BCh (50 wagons), 07/22/2021 Krasnoye 15:50 (train No. 2135), State border (SAIPS Krasnoye) 15:53 , Orsha-Central 16:40-19:13 (train No. 2125), Minsk-Sort.(P.3,4) 00:07-01:00 (train No. 2601), Baranovichi-C.(MP) 03:26-03:28, Brest East. 06:24-09:08 (train No. 3782), Brest-Yuzhny 09:40;
6.1. No. 80415 Brest-Yuzhny BCh – Selyatino Mosc. (50 wagons), 07/23/2021 Brest-East. 21:52 (train No. 3384), Baranovichi-C.(MP) 01:05-01:46 (train No. 2658), Minsk-Sort.(P.3,4) 04:20-04:50 (train No. 2124), Orsha-Central 08:50-10:51, Krasnoye 11:43 (train No. 2112) 07/24/2021.
7. No. 80422 Nara Mosc – Polonka BCh (47 wagons), 07/22/2021 Krasnoye 17:20 (scheduled train No. 2139), State border (SAIPS Krasnoye) 17:23, Orsha-Central 18:11-21:40 (train No. 2131), Minsk-Sort.(P.3,4) 01:20-02:01 (train No. 2605), Baranovichi-C.(MP) 04:26-10:48 (train No. 3007), Polonka 11:37;
7.1 No. 80422 Polonka BCh – Nara Mosc (47 wagons), 07/23/2021 Polonka 21:38, (train No. 3504), Baranovichi-Central 22:14-23:17 (train No. 2650), Minsk-Sort.(P.3,4) 01:41-02:31(train No. 2114), Orsha-Central 06:29-10:35, Krasnoye 11:28 (train No. 2110) 07/24/2021.
8. No. 80433 Pochinki Gork. – Lesnaya BCh (37 wagons), 07/23/2021 Krasnoye 21:21 (train No. 2145), State border (SAIPS Krasnoe) 21:24 , Orsha-Central 22:11-00:51 (train No. 2145), Minsk-Sort.(P.3,4) 04:24-06:23 (train No. 2619), Baranovichi-C.(MP) 09:17-09:52, Lesnaya 10:22;
8.1. No. 80433 Lesnaya BCh – Pochinki Gork (37 wagons), 07/24/2021 Lesnaya 22:05 (train No. 2648), Baranovichi-C.(MP) 22:36-00:37 (train No. 2654), Minsk-Sort.(P.3,4) 03:30-04:50 (train No. 2124), Orsha-Central 08:50-10:20, Krasnoye 11:12 (train No. 2108) 07/25/2021.
9. No. 80416 Selyatino Mosc. – Brest-Yuzhny BCh (49 wagons), 07/23/2021 Krasnoye 15:50 (train No. 2135), State border (SAIPS Krasnoye) 15:53, , Orsha-Central 16:40-19:13 (train No. 2125), Minsk-Sort.(P.3,4) 00:07-01:00 (train No. 2601), Baranovichi-C.(MP) 03:26-03:28, Brest East. 06:24-09:08 (train No. 3782), Brest-Yuzhny 09:40;
9.1. No. 80416 Brest-Yuzhny BCh – Selyatino Mosc. (49 wagons), 07/24/2021 Brest-East. 21:52 (train No. 3384), Baranovichi-C.(MP) 01:05-01:46 (train No. 2658), Minsk-Sort.(P.3,4) 04:20-04:50 (train No. 2124), Orsha-Central 08:50-10:51, Krasnoye 11:43 (train No. 2112) 07/25/2021.
10. No. 80423 Nara Mosc – Polonka BCh (37 wagons), 07/23/2021 Krasnoye 17:20 (scheduled train No. 2139), State border (SAIPS Krasnoye) 5:23 PM, , Orsha-Central 18:11-21:40 (train No. 2131), Minsk-Sort.(P.3,4) 01:20-02:01 (train No. 2605), Baranovichi-C.(MP) 04:26-10:48 (train No. 3007), Polonka 11:37;
10.1. No. 80423 Polonka BCh – Nara Mosc (37 wagons), 07/24/2021. Polonka 21:38, (train No. 3504), Baranovichi-Central 22:14-23:17 (train No. 2650), Minsk-Sort.(P.3,4) 01:41-02:31(train No. 2114), Orsha-Central 06:29-10:35, Krasnoye 11:28 (train No. 2110) 07/25/2021.
11. No. 80417 Selyatino Mosc. – Brest-Yuzhny BCh (50 wagons), 07/24/2021 Krasnoye 15:50 (train No. 2135), State border (SAIPS Krasnoye) 15:53, , Orsha-Central 16:40-19:13 (train No. 2125), Minsk-Sort.(P.3,4) 00:07-01:00 (train No. 2601), Baranovichi-C.(MP) 03:26-03:28, Brest East. 06:24-09:08 (train No. 3782), Brest-Yuzhny 09:40;
11.1. No. 80417 Brest-Yuzhny BCh – Selyatino Mosc. (50 wagons), 07/25/2021 Brest-East. 21:52 (train No. 3384), Baranovichi-C.(MP) 01:05-01:46 (train No. 2658), Minsk-Sort.(P.3,4) 04:20-04:50 (train No. 2124), Orsha-Central 08:50-10:51, Krasnoye 11:43 (train No. 2112) 07/26/2021.
12. No. 80424 Nara Mosc – Polonka BCh (48 wagons), 07/24/2021 Krasnoye 17:20 (scheduled train No. 2139), State border (SAIPS Krasnoye) 5:23 PM, , Orsha-Central 18:11-21:40 (train No. 2131), Minsk-Sort.(P.3,4) 01:20-02:01 (train No. 2605), Baranovichi-C.(MP) 04:26-05:18, Polonka 06:00;
12.1. No. 80424 Polonka BCh – Nara Mosc (48 wagons), 07/25/2021 Polonka 17:04, (train No. 3008), Baranovichi-Central 17:36-18:21 (train No. 2638), Minsk-Sort.(P.3,4) 20:45-21:52 (train No. 2156) Orsha-Central 01:46-03:54, Krasnoye 04:45 (train No. 2158) 07/26/2021.
13. No. 80418 Selyatino Mosc. – Polonka BCh (49 wagons), 07/25/2021 Krasnoye 15:50 (train No. 2135), State border (SAIPS Krasnoye) 15:53, , Orsha-Central 16:40-19:13 (train No. 2125), Minsk-Sort.(P.3,4) 00:07-01:00 (train No. 2601), Baranovichi-C.(MP) 03:26-04:10, Polonka 04:50.
13.1. No. 80418 Polonka BCh – Selyatino Mosc. (49 wagons), 07/26/2021 Polonka 14:20, Baranovichi-C.(MP) 15:40-17:06 (train No. 2634), Minsk-Sort.(P.3,4) 19:29-20:00 (train No. 3158), Orsha-Central 23:44-03:30 , Krasnoye 04:21 (train No. 2156) 07/27/2021.
14. No. 80425 Nara Mosc – Polonka BCh (48 wagons), 07/25/2021 Krasnoye 17:20 (scheduled train No. 2139), State border (SAIPS Krasnoye) 5:23 PM, , Orsha-Central 18:11-21:40 (train No. 2131), Minsk-Sort.(P.3,4) 01:20-03:54 (train No. 2613), Baranovichi-C.(MP) 06:17-14:50, Polonka 15:30;
14.1. No. 80425 Polonka BCh – Nara Mosc (48 wagons), 07/27/2021 Polonka 01:37, (train No. 3014), Baranovichi-Central 02:09-03:36 (train No. 2662), Minsk-Sort.(P.3,4) 06:20 (train No. 2126) Orsha-Central 10:32-12:49, Krasnoye 13:40 (train No. 2120) 07/27/2021.
15. No. 80419 Selyatino Mosc. – Brest-Yuzhny BCh, (48 wagons), 07/26/2021 Krasnoye 15:50 (train No. 2135), State border (SAIPS Krasnoye) 15:53, , Orsha-Central 16:40-19:13 (train No. 2125), Minsk-Sort.(P.3,4) 00:07-01:00 (train No. 2601), Baranovichi-C.(MP) 03:26-04:10, Polonka 04:50;
15.1. No. 80419 Polonka BCh – Selyatino Mosc., (48 wagons), 07/27/2021 Polonka 14:20, Baranovichi-C.(MP) 15:40-17:06 (train No. 2634), Minsk-Sort.(P.3,4) 19:29-20:00 (train No. 3158), Orsha-Central 23:44-03:30 , Krasnoye 04:21 (train No. 2156) 07/28/2021.
16. No. 80426 Nara Mosc – Polonka BCh (45 wagons), 07/26/2021 Krasnoye 17:20 (train No. 2139), State border (SAIPS Krasnoye) 5:23 PM, , Orsha-Central 18:11-21:40 (train No. 2131), Minsk-Sort.(P.3,4) 01:20-03:54 (train No. 2613), Baranovichi-C.(MP) 06:17-14:50, Polonka 15:30;
16.1. No. 80426 Polonka BCh – Nara Mosc (45 wagons), 07/28/2021 Polonka 01:37, (train No. 3014), Baranovichi-Central 02:09-03:36 (train No. 2662), Minsk-Sort.(P.3,4) 06:20 (train No. 2126) Orsha-Central 10:32-12:49, Krasnoye 13:40 (train No. 2120) 07/28/2021.
17. No. 80427 Nara Mosc – Polonka BCh (50 wagons), 07/27/2021 Krasnoye 17:20 (train No. 2139), State border (SAIPS Krasnoye) 5:23 PM, , Orsha-Central 18:11-21:40 (train No. 2131), Minsk-Sort.(P.3,4) 01:20-02:01 (train No. 2605), Baranovichi-C.(MP) 04:26-05:18, Polonka 06:00;
17.1. No. 80427 Polonka BCh – Nara Mosc (50 wagons), 07/28/2021 Polonka 17:04, (train No. 3008), Baranovichi-Central 17:36-18:21 (train No. 2638), Minsk-Sort.(P.3,4) 20:45-21:52 (train No. 2156) Orsha-Central 01:46-03:54, Krasnoye 04:45 (train No. 2158) 07/29/2021.
18. No. 80428 Nara Mosc – Polonka BCh (52 wagons), 07/28/2021 Krasnoye 17:20 (train No. 2139), State border (SAIPS Krasnoye) 5:23 PM, , Orsha-Central 18:11-21:40 (train No. 2131), Minsk-Sort.(P.3,4) 01:20-02:01 (train No. 2605), Baranovichi-C.(MP) 04:26-05:18, Baranovichi-Central 05:22, Baranovichi-Central(ZP) 05:26, Polonka 06:00;
18.1. No. 80428 Polonka BCh – Nara Mosc (52 wagons), 07/29/2021 Polonka 17:04, (train No. 3008), Baranovichi-Central 17:36-18:21 (train No. 2638), Minsk-Sort.(P.3,4) 20:45-21:52 (train No. 2156) Orsha-Central 01:46-03:54, Krasnoye 04:45 (train No. 2158) 07/30/2021.
19. No. 80410 Selyatino Mosc. – Lesnaya BCh (52 wagons), 08/01/2021 Krasnoye 15:50 (train No. 2135), State border (SAIPS Krasnoye) 15:53, , Orsha-Central 16:40-19:13 (train No. 2125), Minsk-Sort.(P.3,4) 00:07-01:00 (train No. 2601), Baranovichi-C.(MP) 03:26-03:28, Lesnaya 04:00;
19.1. No. 80410 Lesnaya BCh – Selyatino Mosc (52-car consist), 02.08.2021 Lesnaya 3:45 PM (train #2636), Baranovichi-Ts.(MP) 4:37-5:42 PM (train #2636), Minsk-Sort.(Tracks #3,4) 8:06-9:52 PM (train #2156) Orsha-Center 1:46-3:54 AM, Krasnoye 4:45 AM (train #2158) 03.08.2021.
20. #80429 Nara Moscow – Polonka BCh (52-car consist), 01.08.2021 Krasnoye 5:20 PM (train #2139), State border (SAIPS Krasnoye) 5:23 PM, , Orsha-Central 18:11-21:40 (train No. 2131), Minsk-Sort.(P.3,4) 01:20-02:01 (train No. 2605), Baranovichi-C.(MP) 04:26-05:18, Polonka 06:00;
20.1. #80429 Polonka BCh – Nara Moscow (52-car consist), 02.08.2021 Polonka 5:04 PM, (train #3008), Baranovichi-Center 5:36-6:21 PM (train #2638), Minsk-Sort.(Tracks #3,4) 8:45-10:36 PM (train #2158), Orsha-Center 2:21-5:31 AM, Krasnoye 6:23 AM (train #2160) 03.08.2021.
21. #80411 Selyatino Moscow – Lesnaya BCh (21-car consist), 02.08.2021 Krasnoye 11:20 AM (train #2119), State border (SAIPS Krasnoe) 11:23, Orsha-Center 12:12-3:14 PM (train #2119), Minsk-Sort.(Tracks #3,4) 7:08 PM (train #2643), Baranovichi-Ts.(MP) 10:25-11:23 PM (train #2645), Lesnaya 11:51 PM;
21.1. #80411 Selyatino Moscow – Lesnaya BCh (21-car consist), 03.08.2021 Lesnaya 3:45 PM (train #2636), Baranovichi-Ts.(MP) 4:37-5:42 PM (train #2636), Minsk-Sort.(Tracks #3,4) 8:06-9:52 PM (train #2156) Orsha-Center 1:46-3:54 AM, Krasnoye 4:45 AM (train #2158) 04.08.2021.
22. #80420 Selyatino Moscow – Brest-Yuzhny BCh (50-car consist), 02.08.2021 Krasnoye 11:42 AM (train #2121), State border (SAIPS Krasnoye) 11:45 AM , Orsha-Center 12:35-3:50 PM (train #2121), Minsk-Sort.(Tracks #3,4) 8:11 PM (train #2645), Baranovichi-Ts.(MP) 10:59 PM-12:01 AM (train #3331), Brest East 2:53-4:58 AM (train #3862), Brest-Yuzhny 5:20 AM;
22.1. #80420 Brest-Yuzhny BCh – Selyatino Moscow (50-car consist), 03.08.2021 Brest-East 5:03 PM (train #2646), Baranovichi-Ts.(MP) 8:38-10:56 PM (train #2648), Minsk-Sort.(Tracks #3,4) 1:20 AM (train #2106), Orsha-Center 5:08-7:25 AM, Krasnoye 8:14 AM (train 2106) 04.08.2021.
23. #80412 Selyatino Moscow – Lesnaya BCh (52-car consist), 03.08.2021 Krasnoye 11:20 AM (train #2119), State border (SAIPS Krasnoe) 11:23, Orsha-Central 12:12-15:14 (train No. 2119), Minsk-Sort.(P.No.3,4) 19:08 (train No. 2643), Baranovichi-Ts.(MP) 22:25-23:23 (train No. 2645), Lesnaya 23:51;
23.1. #80412 Lesnaya BCh – Selyatino Moscow (52-car consist), 04.08.2021 Lesnaya 5:32 PM (train #2638), Baranovichi-Ts.(MP) 6:02-10:27 PM (train #2646), Minsk-Sort.(Tracks #3,4) 1:21 AM (train #2648)-2:31 AM (train #2114), Orsha-Center 6:29-10:20 AM, Krasnoye 11:12 AM (train #2108) 05.08.2021.
24. No. 80435 Cherekha Oct. – Lesnaya BCh (43-car train), 05.08.2021 Ezershche 10:50, Vitebsk (Ln.Zhb.p) 12:27-14:55 (train No. 3027), Orsha-Central 16:50-19:13 (train No. 2125), Minsk-Sort.(P.No.3,4) 00:07-01:00 (train No. 2601), Baranovichi-Ts.(MP) 03:26-03:28, Lesnaya 04:00;
24.1. No. 80435 Lesnaya BCh – Cherekha Oct. (43-car train), 06.08.2021 Lesnaya 15:45 (train No. 2636), Baranovichi-Ts.(MP) 16:37-17:42 (train No. 2636), Minsk-Sort.(P.No.3,4) 20:06-21:52 (train No. 2156) Orsha-West 01:46-03:37 (train No. 2204) Vitebsk (Orl.p.) 05:38-08:45, Ezershche 10:40, 07.08.2021;
25. No. 80436 Cherekha Oct. – Lesnaya BCh (47-car train), 06.08.2021 Ezershche 10:50, Vitebsk (Ln.Zhb.p) 12:27-14:55 (train No. 3027), Orsha-Central 16:50-19:13 (train No. 2125), Minsk-Sort.(P.No.3,4) 00:07-01:00 (train No. 2601), Baranovichi-Ts.(MP) 03:26-03:28, Lesnaya 04:00;
25.1. No. 80436 Lesnaya BCh – Cherekha Oct. (47-car train), 07.08.2021 Lesnaya 15:45 (train No. 2636), Baranovichi-Ts.(MP) 16:37-17:42 (train No. 2636), Minsk-Sort.(P.No.3,4) 20:06-21:52 (train No. 2156) Orsha-West 01:46-03:37 (train No. 2204) Vitebsk (Orl.p.) 05:38-08:45, Ezershche 10:40, 08.08.2021;
26. No. 80437 Cherekha Oct. – Lesnaya BCh (47-car train), 07.08.2021 Ezershche 10:50, Vitebsk (Ln.Zhb.p) 12:27-14:55 (train No. 3027), Orsha-Central 16:50-19:13 (train No. 2125), Minsk-Sort.(P.No.3,4) 00:07-01:00 (train No. 2601), Baranovichi-Ts.(MP) 03:26-03:28, Lesnaya 04:00;
26.1. No. 80437 Lesnaya BCh – Cherekha Oct. (47-car train), 08.08.2021 Lesnaya 15:45 (train No. 2636), Baranovichi-Ts.(MP) 16:37-17:42 (train No. 2636), Minsk-Sort.(P.No.3,4) 20:06-21:52 (train No. 2156) Orsha-West 01:46-03:37 (train No. 2204) Vitebsk (Orl.p.) 05:38-08:45, Ezershche 10:40, 09.08.2021;
27. No. 80413 Selyatino Mosk. – Lesnaya BCh (43-car train), 08.08.2021 Krasnoe 11:20 (train No. 2119), State border (SAIPS Krasnoe) 11:23, Orsha-Central 12:12-15:14 (train No. 2119), Minsk-Sort.(P.No.3,4) 19:08 (train No. 2643), Baranovichi-Ts.(MP) 22:25-23:23 (train No. 2645), Lesnaya 23:51;
27.1. No. 80413 Lesnaya BCh – Selyatino Mosk. (43-car train), 09.08.2021 Lesnaya 16:09 (train No. 2636), Baranovichi-Ts.(MP) 16:37-17:42 (train No. 2636), Minsk-Sort.(P.No.3,4) 20:06-21:52 (train No. 2156) Orsha-West 01:46-03:54, Krasnoe 04:45 (train No. 2158) 10.08.2021.
28. No. 80438 Shchelkovo Mosk. – Lesnaya BCh (21-car train), 18.08.2021 Krasnoe 21:21 (train No. 2145), State border (SAIPS Krasnoe) 21:24 , Orsha-Central 22:11-00:51 (train No. 2145), Minsk-Sort.(P.No.3,4) 04:25 (train No. 3215), Baranovichi-Ts.(MP) 06:38-07:44 (train No. 2615), Lesnaya 08:15;
28.1. No. 80438 Lesnaya BCh – Shchelkovo Mosk. (21-car train), 19.08.2021 Lesnaya 16:09 (train No. 2636), Baranovichi-Ts.(MP) 16:37-17:42 (train No. 2636), Minsk-Sort.(P.No.3,4) 20:06-21:52 (train No. 2156) Orsha-West 01:46-03:54, Krasnoe 04:45 (train No. 2158) 20.08.2021.
29. No. 80434 Selyatino Mosk. – Lesnaya BCh (42-car train), 20.08.2021 Krasnoe 11:20 (train No. 2119), State border (SAIPS Krasnoe) 11:23, Orsha-Central 12:12-15:14 (train No. 2119), Minsk-Sort.(P.No.3,4) 19:08 (train No. 2643), Baranovichi-Ts.(MP) 22:25-23:23 (train No. 2645), Lesnaya 23:51;
29.1. No. 80434 Lesnaya BCh – Selyatino Mosk. (42-car train), 21.08.2021 Lesnaya 15:45 (train No. 2636), Baranovichi-Ts.(MP) 16:37-17:42 (train No. 2636), Minsk-Sort.(P.No.3,4) 20:06-21:52 (train No. 2156) Orsha-West 01:46-03:54, Krasnoe 04:45 (train No. 2158) 22.08.2021.
Information on rolling stock utilized:
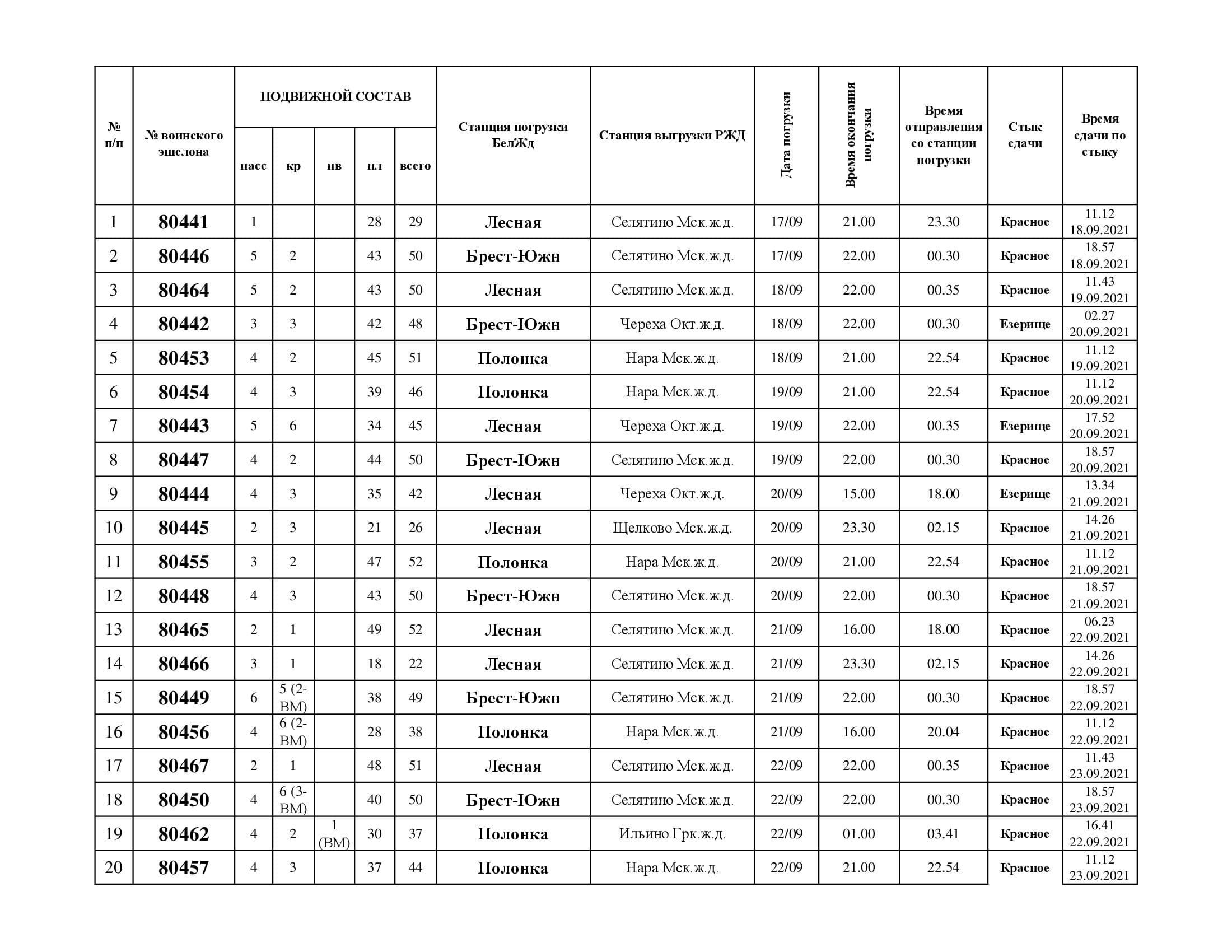
Schedule of military echelons (return to the Russian Federation). September 2021:
1. No. 80441 Lesnaya BCh – Selyatino Mosk. (29-car train) 18.09.2021 Lesnaya 23:30 (train No. 2654), Baranovichi-Ts.(MP) 00:03-00:37 (train No. 2654), Minsk-Sort.(P.No.3,4) 03:20-03:36 (train No. 2120), Orsha-Central 07:24-10:20, Krasnoe 11:12 (train No. 2108) 18.09.2021.
2. No. 80464 Lesnaya BCh – Selyatino Mosk. (50-car train) 19.09.2021 Lesnaya 00:35 (train No. 3384), Baranovichi-Ts.(MP) 01:05-01:46 (train No. 2656), Minsk-Sort.(P.No.3,4) 04:20-04:50 (train No. 2124), Orsha-Central 08:50-10:51, Krasnoe 11:43 (train No. 2112) 19.09.2021.
3. No. 80443 Lesnaya BCh – Cherekha Oct. (45-car train) 20.09.2021 Lesnaya 00:35 (train No. 3384), Baranovichi-Ts.(MP) 01:05-01:46 (train No. 2656), Minsk-Sort.(P.No.3,4) 04:20-04:50 (train No. 2121), Orsha-Central 08:50-Orsha-West 12:21 (train No. 2218), Vitebsk (Orl. p.) 14:42-16:14, Ezershche-junction 17:52 (train No. 2414) 20.09.2021.
4. No. 80444 Lesnaya BCh – Cherekha Oct. (42-car train) 20.09.2021 Lesnaya 18:00 (train No. 2640), Baranovichi-Ts.(MP) 18:29-18:39 (train No. 2640), Minsk-Sort.(P.No.3,4) 21:29-22:36 (train No. 2158), Orsha-Central 02:21-Orsha-West 06:31 (train No. 3008), Vitebsk (Orl. p.) 08:21-11:42, Ezershche-junction 13:34 (train No. 2406) 21.09.2021.
5. No. 80445 Lesnaya BCh – Shchelkovo Mosk. (26-car train) 21.09.2021 Lesnaya 02:15 (train No. 2660), Baranovichi-Ts.(MP) 02:46-02:59 (train No. 2660), Minsk-Sort.(P.No.3,4) 05:38-06:27 (train No. 2126), Orsha-Central 10:32-13:33, Krasnoe 14:26 (train No. 2124) 21.09.2021.
6. No. 80465 Lesnaya BCh – Selyatino Mosk. (52-car train) 21.09.2021 Lesnaya 18:00 (train No. 2640), Baranovichi-Ts.(MP) 18:29-18:39 (train No. 2640), Minsk-Sort.(P.No.3,4) 21:29-22:36 (train No. 2158), Orsha-Central 02:27-05:31, Krasnoe 06:23 (train No. 2160) 22.09.2021.
7. No. 80466 Lesnaya BCh – Selyatino Mosk. (22-car train) 22.09.2021 Lesnaya 02:15 (train No. 2660), Baranovichi-Ts.(MP) 02:46-02:59 (train No. 2660), Minsk-Sort.(P.No.3,4) 05:28-06:27 (train No. 2126), Orsha-Central 10:32-13:33, Krasnoe 14:26 (train No. 2124) 22.09.2021.
8. #80467 Lesnaya BCh – Selyatino Moscow (51-car consist) 23.09.2021 Lesnaya 12:35 AM (train #3384), Baranovichi-Ts.(MP) 1:05-1:46 AM (train #2656), Minsk-Sort.(Tracks #3,4) 4:20-4:50 AM (train #2124), Orsha-Center 8:50-10:51 AM, Krasnoye 11:43 AM (train #2113) 23.09.2021.
9. #80468 Lesnaya BCh – Pochinki Gorky (37-car consist) 24.09.2021 Lesnaya 12:35 AM (train #3384), Baranovichi-Ts.(MP) 1:05-1:46 AM (train #2656), Minsk-Sort.(Tracks #3,4) 4:20-4:50 AM (train #2124), Orsha-Center 8:50-10:51 AM, Krasnoye 11:43 AM (train #2112) 24.09.2021.
10. #80469 Lesnaya BCh – Pochinki Gorky (29-car consist) 25.09.2021 Lesnaya 12:35 AM (train #3384), Baranovichi-Ts.(MP) 1:05-1:46 AM (train #2656), Minsk-Sort.(Tracks #3,4) 4:20-4:50 AM (train #2124), Orsha-Center 8:50-10:51 AM, Krasnoye 11:43 AM (train #2113) 25.09.2021.
11. #80446 Brest-Yuzhny BCh – Selyatino Moscow (50-car consist) 18.09.2021 Brest-Yuzhny 12:30 AM, Brest – East 12:47-2:56 AM (train #2606), Baranovichi-Ts.(MP) 5:52-6:35 AM (train #2608), Minsk-Sort.(Tracks #3,4) 9:44-10:48 AM (train #2136), Orsha-Center 2:45-6:07 PM, Krasnoye 6:57 PM (train #2138) 18.09.2021.
12. #80442 Brest-Yuzhny BCh – Cherekha October (48-car consist) 19.09.2021 Brest-Yuzhny 12:30 AM, Brest – East 12:47-2:56 AM (train #2606), Baranovichi-Ts.(MP) 5:52-6:35 AM (train #2608), Minsk-Sort.(Tracks #3,4) 9:44-10:48 AM (train #2136), Orsha-Center 2:45 PM-Orsha-West 6:31 PM (train #2230), Vitebsk (Orl. track) 8:22-11:24 PM, Yezerische-junction 2:27 AM (train #2418) 20.09.2021.
13. #80447 Brest-Yuzhny BCh – Selyatino Moscow (50-car consist) 20.09.2021 Brest-Yuzhny 12:30 AM, Brest – East 12:47-2:56 AM (train #2606), Baranovichi-Ts.(MP) 5:52-6:35 AM (train #2608), Minsk-Sort.(Tracks #3,4) 9:44-10:58 AM (train #2136), Orsha-Center 3:00-6:07 PM, Krasnoye 6:57 PM (train #2138) 20.09.2021.
14. #80448 Brest-Yuzhny BCh – Selyatino Moscow (50-car consist) 21.09.2021 Brest-Yuzhny 12:30 AM, Brest – East 12:47-2:56 AM (train #2606), Baranovichi-Ts.(MP) 5:52-6:35 AM (train #2608), Minsk-Sort.(Tracks #3,4) 9:44-10:58 AM (train #2136), Orsha-Center 3:00-6:07 PM, Krasnoye 6:57 PM (train #2138) 21.09.2021.
15. #80449 Brest-Yuzhny BCh – Selyatino Moscow (49-car consist) 22.09.2021 Brest-Yuzhny 12:30 AM, Brest – East 12:47-2:56 AM (train #2606), Baranovichi-Ts.(MP) 5:52-6:35 AM (train #2608), Minsk-Sort.(Tracks #3,4) 9:44-10:48 AM (train #2136), Orsha-Center 2:45-6:07 PM, Krasnoye 6:57 PM (train #2138) 22.09.2021.
16. #80450 Brest-Yuzhny BCh – Selyatino Moscow (50-car consist) 23.09.2021 Brest-Yuzhny 12:30 AM, Brest – East 12:47-2:56 AM (train #2606), Baranovichi-Ts.(MP) 5:52-6:35 AM (train #2608), Minsk-Sort.(Tracks #3,4) 9:44-10:48 AM (train #2136), Orsha-Center 2:45-6:07 PM, Krasnoye 6:57 PM (train #2138) 23.09.2021.
17. #80453 Polonka BCh – Nara Moscow (51-car consist), 18.09.2021 Polonka 10:54 PM (train #3012), Baranovichi-Center (ZP) 11:21 PM-12:37 AM (train #2654), Minsk-Sort.(Tracks #3,4) 3:20-4:02 AM (train #2122), Orsha-Center 7:50-10:20 AM, Krasnoye 11:12 AM (train #2108) 19.09.2021.
18. #80454 Polonka BCh – Nara Moscow (46-car consist), 19.09.2021 Polonka 10:54 PM (train #3012), Baranovichi-Center (ZP) 11:21 PM-12:37 AM (train #2654), Minsk-Sort.(Tracks #3,4) 3:20-4:02 AM (train #2122), Orsha-Center 7:50-10:20 AM, Krasnoye 11:12 AM (train #2108) 20.09.2021.
19. #80455 Polonka BCh – Nara Moscow (52-car consist), 20.09.2021 Polonka 10:54 PM (train #3012), Baranovichi-Center (ZP) 11:21 PM-12:37 AM (train #2654), Minsk-Sort.(Tracks #3,4) 3:20-4:02 AM (train #2122), Orsha-Center 7:50-10:20 AM, Krasnoye 11:12 AM (train #2108)21.09.2021
20. #80456 Polonka BCh – Nara Moscow (38-car consist), 21.09.2021 Polonka 8:04 PM (train #3010), Baranovichi-Center (ZP) 8:35-10:24 PM (train #2446), Minsk-Sort.(Tracks #3,4) 12:58-1:51 AM (train #2108), Orsha-Center 5:27-10:20 AM, Krasnoye 11:12 AM (train #2108) 22.09.2021
21. #80462 Polonka BCh – Ilyino Gorky (37-car consist), 22.09.2021 Polonka 3:41 AM (train #3002), Baranovichi-Center (ZP) 4:12-5:57 AM (train #2606), Minsk-Sort.(Tracks #3,4) 8:28-9:00 AM (train #2130), Orsha-Center 12:40-3:48 PM, Krasnoye 4:41 PM (train #2130) 22.09.2021.
22. #80457 Polonka BCh – Nara Moscow (44-car consist), 22.09.2021 Polonka 10:54 PM (train #3012), Baranovichi-Center (ZP) 11:21 PM-12:37 AM (train #2654), Minsk-Sort.(Tracks #3,4) 3:20-4:02 AM (train #2122), Orsha-Center 7:50-10:20 AM, Krasnoye 11:12 AM (train #2108) 23.09.2021.
23. #80458 Polonka BCh – Nara Moscow (52-car consist), 23.09.2021 Polonka 10:54 PM (train #3012), Baranovichi-Center (ZP) 11:21 PM-12:37 AM (train #2654), Minsk-Sort.(Tracks #3,4) 3:20-4:02 AM (train #2122), Orsha-Center 7:50-10:20 AM, Krasnoye 11:12 AM (train #2108) 24.09.2021.
24. #80459 Polonka BCh – Nara Moscow (44-car consist), 24.09.2021 Polonka 10:54 PM (train #3012), Baranovichi-Center (ZP) 11:21 PM-12:37 AM (train #2654), Minsk-Sort.(Tracks #3,4) 3:20-4:02 AM (train #2122), Orsha-Center 7:50-10:20 AM, Krasnoye 11:12 AM (train #2108) 25.09.2021.
25. #80460 Polonka BCh – Nara Moscow (48-car consist), 25.09.2021 Polonka 10:54 PM (train #3012), Baranovichi-Center (ZP) 11:21 PM-12:37 AM (train #2654), Minsk-Sort.(Tracks #3,4) 3:20-4:02 AM (train #2122), Orsha-Center 7:50-10:20 AM, Krasnoye 11:12 AM (train #2108) 26.09.2021.
26. #80461 Polonka BCh – Nara Moscow (48-car consist), 26.09.2021 Polonka 10:54 PM (train #3012), Baranovichi-Center (ZP) 11:21 PM-12:37 AM (train #2654), Minsk-Sort.(Tracks #3,4) 3:20-4:02 AM (train #2122), Orsha-Center 7:50-10:20 AM, Krasnoye 11:12 AM (train #2108) 27.09.2021
27. #80451 Polonka BCh – Selyatino Moscow (49-car consist), 27.09.2021 Polonka 10:54 PM (train #3012), Baranovichi-Center (ZP) 11:21 PM-12:37 AM (train #2654), Minsk-Sort.(Tracks #3,4) 3:20-4:02 AM (train #2122), Orsha-Center 7:56-10:35 AM, Krasnoye 11:28 AM (train #2110). 28.09.2021
28. #80452 Polonka BCh – Selyatino Moscow (28-car consist), 28.09.2021 Polonka 8:04 PM (train #3010), Baranovichi-Center (ZP) 8:35-10:24 PM (train #2446), Minsk-Sort.(Tracks #3,4) 12:58-1:51 AM (train #2108), Orsha-Center 5:27-10:20 AM, Krasnoye 11:12 AM (train #2108) 29.09.2021
29. #80463 Polonka BCh – Rostov-Yaroslavl North (38-car consist), 29.09.2021 Polonka 3:41 AM (train #3002), Baranovichi-Center (ZP) 4:12-5:57 AM (train #2606), Minsk-Sort.(Tracks #3,4) 8:28-9:02 AM (train #2130), Orsha-Center 12:57-3:48 PM, Krasnoye 4:41 PM (train #2130) 29.09.2021
Information on rolling stock utilized:
❗️Additionally: information from colleagues at JSC “Russian Railways” has been confirmed that in August 2020, schedules for military train movements to the Republic of Belarus were developed in case of “escalation” of the situation in the country.
















